Skip to content

  • 体验新版
    • 正在加载...
  • 登录
  • PaddlePaddle
  • Paddle
  • Issue
  • #6083

P
Paddle
  • 项目概览

PaddlePaddle / Paddle
大约 2 年 前同步成功

通知 2325
Star 20933
Fork 5424
  • 代码
    • 文件
    • 提交
    • 分支
    • Tags
    • 贡献者
    • 分支图
    • Diff
  • Issue 1423
    • 列表
    • 看板
    • 标记
    • 里程碑
  • 合并请求 543
  • Wiki 0
    • Wiki
  • 分析
    • 仓库
    • DevOps
  • 项目成员
  • Pages
P
Paddle
  • 项目概览
    • 项目概览
    • 详情
    • 发布
  • 仓库
    • 仓库
    • 文件
    • 提交
    • 分支
    • 标签
    • 贡献者
    • 分支图
    • 比较
  • Issue 1,423
    • Issue 1,423
    • 列表
    • 看板
    • 标记
    • 里程碑
  • 合并请求 543
    • 合并请求 543
  • Pages
  • 分析
    • 分析
    • 仓库分析
    • DevOps
  • Wiki 0
    • Wiki
  • 成员
    • 成员
  • 收起侧边栏
  • 动态
  • 分支图
  • 创建新Issue
  • 提交
  • Issue看板
已关闭
开放中
Opened 11月 30, 2017 by saxon_zh@saxon_zhGuest

mse cost的大小与模型输出维度是否有关?error clipping 输出日志该如何理解?

Created by: dockiHan

最近使用栈式LSTM做回归模型,遇到了一些棘手的问题,还请帮忙解答一下:

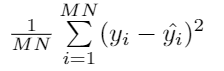
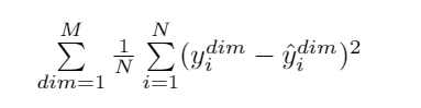
  1. paddlepaddle 0.10.0版本中mse_cost对于多维度的输入输出是如何计算的? 假如output dim = M, 每个batch 有N个sample。 image image

    batch cost的计算是左边的公式还是右边的?

  2. error clipping的输出日志中的max error 和avg error该如何理解? error 指的是不是当前层的梯度?那么最大和平均该如何理解呢,是指一个batch size中的最大梯度和平均梯度吗?

  3. 对于输入输出维度都很大的任务(比如100维输入,100维输出的回归任务),batch cost相应也很大(mse batch cost 在500-1000范围),请问error clipping的threshold是否应当相应的设高一些?有没有其他比较好的办法提高训练效率?(我使用error clipping之后几乎一直在做clip)

  4. 请问像下面这种查看每层梯度的日志,是怎么打印出来的呢?paddlepaddle中有相应的接口吗?

I9070 14:16:39.139219 14922 TrainerInternal.cpp:206] _target_language_word avg_abs_val=0.0770059 max_val=1.16759 avg_abs_grad=295463 max_grad=2.64328e+09 
I9070 14:16:39.140857 14922 TrainerInternal.cpp:206] _hidden-q-c1-1.w0 avg_abs_val=0.0247217 max_val=0.148856 avg_abs_grad=8.24642e+06 max_grad=2.97277e+08 
I9070 14:16:39.140946 14922 TrainerInternal.cpp:206] _hidden-q-c1-1.wbias avg_abs_val=0.0134427 max_val=0.0558094 avg_abs_grad=2.8694e+08 max_grad=3.4266e+09 
I9070 14:16:39.146185 14922 TrainerInternal.cpp:206] _lstm-q-c1-1.w0 avg_abs_val=0.0233535 max_val=0.070686 avg_abs_grad=2.97016e+06 max_grad=1.92164e+08 
I9070 14:16:39.146267 14922 TrainerInternal.cpp:206] _lstm-q-c1-1.wbias avg_abs_val=0.0242056 max_val=0.0673774 avg_abs_grad=1.02841e+08 max_grad=2.80652e+09 
I9070 14:16:39.156641 14922 TrainerInternal.cpp:206] _hidden-q-c1-2.w0 avg_abs_val=0.0176564 max_val=0.111266 avg_abs_grad=1.52075e+07 max_grad=6.61996e+08
I9070 14:16:39.161865 14922 TrainerInternal.cpp:206] _hidden-q-c1-2.w1 avg_abs_val=0.0137717 max_val=0.068213 avg_abs_grad=3.8464e+06 max_grad=2.14835e+08 
I9070 14:16:39.161944 14922 TrainerInternal.cpp:206] _hidden-q-c1-2.wbias avg_abs_val=0.000861888 max_val=0.00452402 avg_abs_grad=1.56843e+08 max_grad=1.63732e+09 
I9070 14:16:39.167181 14922 TrainerInternal.cpp:206] _lstm-q-c1-2.w0 avg_abs_val=0.0118875 max_val=0.0641921 avg_abs_grad=4.98832e+06 max_grad=4.02445e+08 
I9070 14:16:39.167268 14922 TrainerInternal.cpp:206] _lstm-q-c1-2.wbias avg_abs_val=0.0135908 max_val=0.0565502 avg_abs_grad=3.32067e+07 max_grad=1.26415e+09 
I9070 14:16:39.170172 14922 TrainerInternal.cpp:206] _lstmRA-q-seq-proj.w0 avg_abs_val=0.0208607 max_val=0.121019 avg_abs_grad=3.57133e+06 max_grad=1.61502e+08 
I9070 14:16:39.171003 14922 TrainerInternal.cpp:206] _decoder_state_projected@decoding_layer_group.w0 avg_abs_val=0.0181545 max_val=0.113313 avg_abs_grad=3.72381e+07 max_grad=4.94205e+08 
I9070 14:16:39.171075 14922 TrainerInternal.cpp:206] _attention_weight@decoding_layer_group.w0 avg_abs_val=0.0182074 max_val=0.0841638 avg_abs_grad=3.48112e+10 max_grad=4.07161e+10 
I9070 14:16:39.186594 14922 TrainerInternal.cpp:206] _decoder_input_recurrent01@decoding_layer_group.w0 avg_abs_val=0.0225219 max_val=0.203654 avg_abs_grad=1.7084e+06 max_grad=4.21574e+08 
I9070 14:16:39.188189 14922 TrainerInternal.cpp:206] _decoder_input_recurrent01@decoding_layer_group.w1 avg_abs_val=0.0275065 max_val=1.44036 avg_abs_grad=408947 max_grad=3.82036e+07 
I9070 14:16:39.193428 14922 TrainerInternal.cpp:206] decoder_unit01_input_recurrent.w avg_abs_val=0.0223694 max_val=0.199234 avg_abs_grad=847175 max_grad=5.24993e+07 
I9070 14:16:39.193506 14922 TrainerInternal.cpp:206] decoder_unit01_input_recurrent.b avg_abs_val=0.011857 max_val=0.0528973 avg_abs_grad=9.09628e+06 max_grad=4.0061e+08 
I9070 14:16:39.193576 14922 TrainerInternal.cpp:206] decoder_unit01_check.b avg_abs_val=0.0238234 max_val=0.118872 avg_abs_grad=2.65984e+06 max_grad=5.55707e+07 
I9070 14:16:39.214248 14922 TrainerInternal.cpp:206] _decoder_input_recurrent02@decoding_layer_group.w0 avg_abs_val=0.0234653 max_val=1.23594 avg_abs_grad=0.789756 max_grad=377.925 
I9070 14:16:39.219485 14922 TrainerInternal.cpp:206] _decoder_input_recurrent02@decoding_layer_group.w1 avg_abs_val=0.0728412 max_val=1.79231 avg_abs_grad=0.220619 max_grad=43.2564 
I9070 14:16:39.224725 14922 TrainerInternal.cpp:206] decoder_unit02_input_recurrent.w avg_abs_val=0.145413 max_val=4.16184 avg_abs_grad=0.193137 max_grad=44.0683 
I9070 14:16:39.224800 14922 TrainerInternal.cpp:206] decoder_unit02_input_recurrent.b avg_abs_val=0.180045 max_val=1.68827 avg_abs_grad=1.1645 max_grad=48.7926 
I9070 14:16:39.224876 14922 TrainerInternal.cpp:206] decoder_unit02_check.b avg_abs_val=0.177369 max_val=2.48436 avg_abs_grad=2.49318 max_grad=73.1276 
I9070 14:16:39.275351 14922 TrainerInternal.cpp:206] _output@decoding_layer_group.w0 avg_abs_val=0.552655 max_val=16.9875 avg_abs_grad=0.0133146 max_grad=82.6964 
I9070 14:16:39.275485 14922 TrainerInternal.cpp:206] _output.wbias avg_abs_val=0.0456539 max_val=1.12327 avg_abs_grad=0.0684144 max_grad=69.7974 
指派人
分配到
无
里程碑
无
分配里程碑
工时统计
无
截止日期
无
标识: paddlepaddle/Paddle#6083
渝ICP备2023009037号

京公网安备11010502055752号

网络110报警服务 Powered by GitLab CE v13.7
开源知识
Git 入门 Pro Git 电子书 在线学 Git
Markdown 基础入门 IT 技术知识开源图谱
帮助
使用手册 反馈建议 博客
《GitCode 隐私声明》 《GitCode 服务条款》 关于GitCode
Powered by GitLab CE v13.7