提交 76873c0e 编写于 作者: T tink2123

new_fix_doc_pics

上级 e10aa80f
*.pyc
train.log
output
data/cifar-10-batches-py/
data/cifar-10-python.tar.gz
data/*.txt
data/*.list
data/mean.meta
...@@ -21,7 +21,7 @@ ...@@ -21,7 +21,7 @@
图像分类包括通用图像分类、细粒度图像分类等。图1展示了通用图像分类效果,即模型可以正确识别图像上的主要物体。 图像分类包括通用图像分类、细粒度图像分类等。图1展示了通用图像分类效果,即模型可以正确识别图像上的主要物体。
<p align="center"> <p align="center">
<img src="image/dog_cat.png " width="350" ><br/> <img src="https://github.com/PaddlePaddle/book/blob/develop/03.image_classification/image/dog_cat.png?raw=true" width="350" ><br/>
图1. 通用图像分类展示 图1. 通用图像分类展示
</p> </p>
...@@ -30,7 +30,7 @@ ...@@ -30,7 +30,7 @@
<p align="center"> <p align="center">
<img src="image/flowers.png" width="400" ><br/> <img src="https://github.com/PaddlePaddle/book/blob/develop/03.image_classification/image/flowers.png?raw=true" width="400" ><br/>
图2. 细粒度图像分类展示 图2. 细粒度图像分类展示
</p> </p>
...@@ -38,7 +38,7 @@ ...@@ -38,7 +38,7 @@
一个好的模型既要对不同类别识别正确,同时也应该能够对不同视角、光照、背景、变形或部分遮挡的图像正确识别(这里我们统一称作图像扰动)。图3展示了一些图像的扰动,较好的模型会像聪明的人类一样能够正确识别。 一个好的模型既要对不同类别识别正确,同时也应该能够对不同视角、光照、背景、变形或部分遮挡的图像正确识别(这里我们统一称作图像扰动)。图3展示了一些图像的扰动,较好的模型会像聪明的人类一样能够正确识别。
<p align="center"> <p align="center">
<img src="image/variations.png" width="550" ><br/> <img src="https://github.com/PaddlePaddle/book/blob/develop/03.image_classification/image/variations.png?raw=true" width="550" ><br/>
图3. 扰动图片展示[22] 图3. 扰动图片展示[22]
</p> </p>
...@@ -61,7 +61,7 @@ ...@@ -61,7 +61,7 @@
Alex Krizhevsky在2012年ILSVRC提出的CNN模型 \[[9](#参考文献)\] 取得了历史性的突破,效果大幅度超越传统方法,获得了ILSVRC2012冠军,该模型被称作AlexNet。这也是首次将深度学习用于大规模图像分类中。从AlexNet之后,涌现了一系列CNN模型,不断地在ImageNet上刷新成绩,如图4展示。随着模型变得越来越深以及精妙的结构设计,Top-5的错误率也越来越低,降到了3.5%附近。而在同样的ImageNet数据集上,人眼的辨识错误率大概在5.1%,也就是目前的深度学习模型的识别能力已经超过了人眼。 Alex Krizhevsky在2012年ILSVRC提出的CNN模型 \[[9](#参考文献)\] 取得了历史性的突破,效果大幅度超越传统方法,获得了ILSVRC2012冠军,该模型被称作AlexNet。这也是首次将深度学习用于大规模图像分类中。从AlexNet之后,涌现了一系列CNN模型,不断地在ImageNet上刷新成绩,如图4展示。随着模型变得越来越深以及精妙的结构设计,Top-5的错误率也越来越低,降到了3.5%附近。而在同样的ImageNet数据集上,人眼的辨识错误率大概在5.1%,也就是目前的深度学习模型的识别能力已经超过了人眼。
<p align="center"> <p align="center">
<img src="image/ilsvrc.png" width="500" ><br/> <img src="https://github.com/PaddlePaddle/book/blob/develop/03.image_classification/image/ilsvrc.png?raw=true" width="500" ><br/>
图4. ILSVRC图像分类Top-5错误率 图4. ILSVRC图像分类Top-5错误率
</p> </p>
...@@ -70,7 +70,7 @@ Alex Krizhevsky在2012年ILSVRC提出的CNN模型 \[[9](#参考文献)\] 取得 ...@@ -70,7 +70,7 @@ Alex Krizhevsky在2012年ILSVRC提出的CNN模型 \[[9](#参考文献)\] 取得
传统CNN包含卷积层、全连接层等组件,并采用softmax多类别分类器和多类交叉熵损失函数,一个典型的卷积神经网络如图5所示,我们先介绍用来构造CNN的常见组件。 传统CNN包含卷积层、全连接层等组件,并采用softmax多类别分类器和多类交叉熵损失函数,一个典型的卷积神经网络如图5所示,我们先介绍用来构造CNN的常见组件。
<p align="center"> <p align="center">
<img src="image/lenet.png"><br/> <img src="https://github.com/PaddlePaddle/book/blob/develop/03.image_classification/image/lenet.png?raw=true"><br/>
图5. CNN网络示例[20] 图5. CNN网络示例[20]
</p> </p>
...@@ -89,7 +89,7 @@ Alex Krizhevsky在2012年ILSVRC提出的CNN模型 \[[9](#参考文献)\] 取得 ...@@ -89,7 +89,7 @@ Alex Krizhevsky在2012年ILSVRC提出的CNN模型 \[[9](#参考文献)\] 取得
牛津大学VGG(Visual Geometry Group)组在2014年ILSVRC提出的模型被称作VGG模型 \[[11](#参考文献)\] 。该模型相比以往模型进一步加宽和加深了网络结构,它的核心是五组卷积操作,每两组之间做Max-Pooling空间降维。同一组内采用多次连续的3X3卷积,卷积核的数目由较浅组的64增多到最深组的512,同一组内的卷积核数目是一样的。卷积之后接两层全连接层,之后是分类层。由于每组内卷积层的不同,有11、13、16、19层这几种模型,下图展示一个16层的网络结构。VGG模型结构相对简洁,提出之后也有很多文章基于此模型进行研究,如在ImageNet上首次公开超过人眼识别的模型\[[19](#参考文献)\]就是借鉴VGG模型的结构。 牛津大学VGG(Visual Geometry Group)组在2014年ILSVRC提出的模型被称作VGG模型 \[[11](#参考文献)\] 。该模型相比以往模型进一步加宽和加深了网络结构,它的核心是五组卷积操作,每两组之间做Max-Pooling空间降维。同一组内采用多次连续的3X3卷积,卷积核的数目由较浅组的64增多到最深组的512,同一组内的卷积核数目是一样的。卷积之后接两层全连接层,之后是分类层。由于每组内卷积层的不同,有11、13、16、19层这几种模型,下图展示一个16层的网络结构。VGG模型结构相对简洁,提出之后也有很多文章基于此模型进行研究,如在ImageNet上首次公开超过人眼识别的模型\[[19](#参考文献)\]就是借鉴VGG模型的结构。
<p align="center"> <p align="center">
<img src="image/vgg16.png" width="750" ><br/> <img src="https://github.com/PaddlePaddle/book/blob/develop/03.image_classification/image/vgg16.png?raw=true" width="750" ><br/>
图6. 基于ImageNet的VGG16模型 图6. 基于ImageNet的VGG16模型
</p> </p>
...@@ -106,7 +106,7 @@ NIN模型主要有两个特点: ...@@ -106,7 +106,7 @@ NIN模型主要有两个特点:
Inception模块如下图7所示,图(a)是最简单的设计,输出是3个卷积层和一个池化层的特征拼接。这种设计的缺点是池化层不会改变特征通道数,拼接后会导致特征的通道数较大,经过几层这样的模块堆积后,通道数会越来越大,导致参数和计算量也随之增大。为了改善这个缺点,图(b)引入3个1x1卷积层进行降维,所谓的降维就是减少通道数,同时如NIN模型中提到的1x1卷积也可以修正线性特征。 Inception模块如下图7所示,图(a)是最简单的设计,输出是3个卷积层和一个池化层的特征拼接。这种设计的缺点是池化层不会改变特征通道数,拼接后会导致特征的通道数较大,经过几层这样的模块堆积后,通道数会越来越大,导致参数和计算量也随之增大。为了改善这个缺点,图(b)引入3个1x1卷积层进行降维,所谓的降维就是减少通道数,同时如NIN模型中提到的1x1卷积也可以修正线性特征。
<p align="center"> <p align="center">
<img src="image/inception.png" width="800" ><br/> <img src="https://github.com/PaddlePaddle/book/blob/develop/03.image_classification/image/inception.png?raw=ture" width="800" ><br/>
图7. Inception模块 图7. Inception模块
</p> </p>
...@@ -115,7 +115,7 @@ GoogleNet由多组Inception模块堆积而成。另外,在网络最后也没 ...@@ -115,7 +115,7 @@ GoogleNet由多组Inception模块堆积而成。另外,在网络最后也没
GoogleNet整体网络结构如图8所示,总共22层网络:开始由3层普通的卷积组成;接下来由三组子网络组成,第一组子网络包含2个Inception模块,第二组包含5个Inception模块,第三组包含2个Inception模块;然后接均值池化层、全连接层。 GoogleNet整体网络结构如图8所示,总共22层网络:开始由3层普通的卷积组成;接下来由三组子网络组成,第一组子网络包含2个Inception模块,第二组包含5个Inception模块,第三组包含2个Inception模块;然后接均值池化层、全连接层。
<p align="center"> <p align="center">
<img src="image/googlenet.jpeg" ><br/> <img src="https://github.com/PaddlePaddle/book/blob/develop/03.image_classification/image/googlenet.jpeg?raw=true" ><br/>
图8. GoogleNet[12] 图8. GoogleNet[12]
</p> </p>
...@@ -130,14 +130,14 @@ ResNet(Residual Network) \[[15](#参考文献)\] 是2015年ImageNet图像分类 ...@@ -130,14 +130,14 @@ ResNet(Residual Network) \[[15](#参考文献)\] 是2015年ImageNet图像分类
残差模块如图9所示,左边是基本模块连接方式,由两个输出通道数相同的3x3卷积组成。右边是瓶颈模块(Bottleneck)连接方式,之所以称为瓶颈,是因为上面的1x1卷积用来降维(图示例即256->64),下面的1x1卷积用来升维(图示例即64->256),这样中间3x3卷积的输入和输出通道数都较小(图示例即64->64)。 残差模块如图9所示,左边是基本模块连接方式,由两个输出通道数相同的3x3卷积组成。右边是瓶颈模块(Bottleneck)连接方式,之所以称为瓶颈,是因为上面的1x1卷积用来降维(图示例即256->64),下面的1x1卷积用来升维(图示例即64->256),这样中间3x3卷积的输入和输出通道数都较小(图示例即64->64)。
<p align="center"> <p align="center">
<img src="image/resnet_block.jpg" width="400"><br/> <img src="https://github.com/PaddlePaddle/book/blob/develop/03.image_classification/image/resnet_block.jpg?raw=true" width="400"><br/>
图9. 残差模块 图9. 残差模块
</p> </p>
图10展示了50、101、152层网络连接示意图,使用的是瓶颈模块。这三个模型的区别在于每组中残差模块的重复次数不同(见图右上角)。ResNet训练收敛较快,成功的训练了上百乃至近千层的卷积神经网络。 图10展示了50、101、152层网络连接示意图,使用的是瓶颈模块。这三个模型的区别在于每组中残差模块的重复次数不同(见图右上角)。ResNet训练收敛较快,成功的训练了上百乃至近千层的卷积神经网络。
<p align="center"> <p align="center">
<img src="image/resnet.png"><br/> <img src="https://github.com/PaddlePaddle/book/blob/develop/03.image_classification/image/resnet.png?raw=true"><br/>
图10. 基于ImageNet的ResNet模型 图10. 基于ImageNet的ResNet模型
</p> </p>
...@@ -149,7 +149,7 @@ ResNet(Residual Network) \[[15](#参考文献)\] 是2015年ImageNet图像分类 ...@@ -149,7 +149,7 @@ ResNet(Residual Network) \[[15](#参考文献)\] 是2015年ImageNet图像分类
由于ImageNet数据集较大,下载和训练较慢,为了方便大家学习,我们使用[CIFAR10](<https://www.cs.toronto.edu/~kriz/cifar.html>)数据集。CIFAR10数据集包含60,000张32x32的彩色图片,10个类别,每个类包含6,000张。其中50,000张图片作为训练集,10000张作为测试集。图11从每个类别中随机抽取了10张图片,展示了所有的类别。 由于ImageNet数据集较大,下载和训练较慢,为了方便大家学习,我们使用[CIFAR10](<https://www.cs.toronto.edu/~kriz/cifar.html>)数据集。CIFAR10数据集包含60,000张32x32的彩色图片,10个类别,每个类包含6,000张。其中50,000张图片作为训练集,10000张作为测试集。图11从每个类别中随机抽取了10张图片,展示了所有的类别。
<p align="center"> <p align="center">
<img src="image/cifar.png" width="350"><br/> <img src="https://github.com/PaddlePaddle/book/blob/develop/03.image_classification/image/cifar.png?raw=true" width="350"><br/>
图11. CIFAR10数据集[21] 图11. CIFAR10数据集[21]
</p> </p>
...@@ -377,7 +377,7 @@ test_reader = paddle.batch( ...@@ -377,7 +377,7 @@ test_reader = paddle.batch(
`event_handler_plot`可以用来利用回调数据来打点画图: `event_handler_plot`可以用来利用回调数据来打点画图:
<p align="center"> <p align="center">
<img src="image/train_and_test.png" width="350"><br/> <img src="https://github.com/PaddlePaddle/book/blob/develop/03.image_classification/image/train_and_test.png?raw=true" width="350"><br/>
图12. 训练结果 图12. 训练结果
</p> </p>
...@@ -469,7 +469,7 @@ Test with Pass 0, Loss 1.1, Acc 0.6 ...@@ -469,7 +469,7 @@ Test with Pass 0, Loss 1.1, Acc 0.6
图13是训练的分类错误率曲线图,运行到第200个pass后基本收敛,最终得到测试集上分类错误率为8.54%。 图13是训练的分类错误率曲线图,运行到第200个pass后基本收敛,最终得到测试集上分类错误率为8.54%。
<p align="center"> <p align="center">
<img src="image/plot.png" width="400" ><br/> <img src="https://github.com/PaddlePaddle/book/blob/develop/03.image_classification/image/plot.png?raw=true" width="400" ><br/>
图13. CIFAR10数据集上VGG模型的分类错误率 图13. CIFAR10数据集上VGG模型的分类错误率
</p> </p>
......
...@@ -6,7 +6,7 @@ ...@@ -6,7 +6,7 @@
.. todo:: .. todo::
概述 概述
.. toctree:: .. toctree::
:maxdepth: 2 :maxdepth: 2
......
data/train.list
data/test.*
data/conll05st-release.tar.gz
data/conll05st-release
data/predicate_dict
data/label_dict
data/word_dict
data/emb
data/feature
output
predict.res
train.log
...@@ -21,7 +21,7 @@ $$\mbox{[小明]}_{\mbox{Agent}}\mbox{[昨天]}_{\mbox{Time}}\mbox{[晚上]}_\mb ...@@ -21,7 +21,7 @@ $$\mbox{[小明]}_{\mbox{Agent}}\mbox{[昨天]}_{\mbox{Time}}\mbox{[晚上]}_\mb
5. 对第4步的结果,通过多分类得到论元的语义角色标签。可以看到,句法分析是基础,并且后续步骤常常会构造的一些人工特征,这些特征往往也来自句法分析。 5. 对第4步的结果,通过多分类得到论元的语义角色标签。可以看到,句法分析是基础,并且后续步骤常常会构造的一些人工特征,这些特征往往也来自句法分析。
<div align="center"> <div align="center">
<img src="image/dependency_parsing.png" width = "80%" align=center /><br> <img src="https://github.com/PaddlePaddle/book/blob/develop/07.label_semantic_roles/image/dependency_parsing.png?raw=true" width = "80%" align=center /><br>
图1. 依存句法分析句法树示例 图1. 依存句法分析句法树示例
</div> </div>
...@@ -30,7 +30,7 @@ $$\mbox{[小明]}_{\mbox{Agent}}\mbox{[昨天]}_{\mbox{Time}}\mbox{[晚上]}_\mb ...@@ -30,7 +30,7 @@ $$\mbox{[小明]}_{\mbox{Agent}}\mbox{[昨天]}_{\mbox{Time}}\mbox{[晚上]}_\mb
我们继续以上面的这句话为例,图1展示了BIO表示方法。 我们继续以上面的这句话为例,图1展示了BIO表示方法。
<div align="center"> <div align="center">
<img src="image/bio_example.png" width = "90%" align=center /><br> <img src="https://github.com/PaddlePaddle/book/blob/develop/07.label_semantic_roles/image/bio_example.png?raw=true" width = "90%" align=center /><br>
图2. BIO标注方法示例 图2. BIO标注方法示例
</div> </div>
...@@ -53,7 +53,7 @@ $$\mbox{[小明]}_{\mbox{Agent}}\mbox{[昨天]}_{\mbox{Time}}\mbox{[晚上]}_\mb ...@@ -53,7 +53,7 @@ $$\mbox{[小明]}_{\mbox{Agent}}\mbox{[昨天]}_{\mbox{Time}}\mbox{[晚上]}_\mb
图3是最终得到的栈式循环神经网络结构示意图。 图3是最终得到的栈式循环神经网络结构示意图。
<p align="center"> <p align="center">
<img src="./image/stacked_lstm.png" width = "40%" align=center><br> <img src="https://github.com/PaddlePaddle/book/blob/develop/07.label_semantic_roles/image/stacked_lstm.png?raw=true" width = "40%" align=center><br>
图3. 基于LSTM的栈式循环神经网络结构示意图 图3. 基于LSTM的栈式循环神经网络结构示意图
</p> </p>
...@@ -64,7 +64,7 @@ $$\mbox{[小明]}_{\mbox{Agent}}\mbox{[昨天]}_{\mbox{Time}}\mbox{[晚上]}_\mb ...@@ -64,7 +64,7 @@ $$\mbox{[小明]}_{\mbox{Agent}}\mbox{[昨天]}_{\mbox{Time}}\mbox{[晚上]}_\mb
为了克服这一缺陷,我们可以设计一种双向循环网络单元,它的思想简单且直接:对上一节的栈式循环神经网络进行一个小小的修改,堆叠多个LSTM单元,让每一层LSTM单元分别以:正向、反向、正向 …… 的顺序学习上一层的输出序列。于是,从第2层开始,$t$时刻我们的LSTM单元便总是可以看到历史和未来的信息。图4是基于LSTM的双向循环神经网络结构示意图。 为了克服这一缺陷,我们可以设计一种双向循环网络单元,它的思想简单且直接:对上一节的栈式循环神经网络进行一个小小的修改,堆叠多个LSTM单元,让每一层LSTM单元分别以:正向、反向、正向 …… 的顺序学习上一层的输出序列。于是,从第2层开始,$t$时刻我们的LSTM单元便总是可以看到历史和未来的信息。图4是基于LSTM的双向循环神经网络结构示意图。
<p align="center"> <p align="center">
<img src="./image/bidirectional_stacked_lstm.png" width = "60%" align=center><br> <img src="https://github.com/PaddlePaddle/book/blob/develop/07.label_semantic_roles/image/bidirectional_stacked_lstm.png?raw=true" width = "60%" align=center><br>
图4. 基于LSTM的双向循环神经网络结构示意图 图4. 基于LSTM的双向循环神经网络结构示意图
</p> </p>
...@@ -79,7 +79,7 @@ CRF是一种概率化结构模型,可以看作是一个概率无向图模型 ...@@ -79,7 +79,7 @@ CRF是一种概率化结构模型,可以看作是一个概率无向图模型
序列标注任务只需要考虑输入和输出都是一个线性序列,并且由于我们只是将输入序列作为条件,不做任何条件独立假设,因此输入序列的元素之间并不存在图结构。综上,在序列标注任务中使用的是如图5所示的定义在链式图上的CRF,称之为线性链条件随机场(Linear Chain Conditional Random Field)。 序列标注任务只需要考虑输入和输出都是一个线性序列,并且由于我们只是将输入序列作为条件,不做任何条件独立假设,因此输入序列的元素之间并不存在图结构。综上,在序列标注任务中使用的是如图5所示的定义在链式图上的CRF,称之为线性链条件随机场(Linear Chain Conditional Random Field)。
<p align="center"> <p align="center">
<img src="./image/linear_chain_crf.png" width = "35%" align=center><br> <img src="https://github.com/PaddlePaddle/book/blob/develop/07.label_semantic_roles/image/linear_chain_crf.png?raw=true" width = "35%" align=center><br>
图5. 序列标注任务中使用的线性链条件随机场 图5. 序列标注任务中使用的线性链条件随机场
</p> </p>
...@@ -123,7 +123,7 @@ $$\DeclareMathOperator*{\argmax}{arg\,max} L(\lambda, D) = - \text{log}\left(\pr ...@@ -123,7 +123,7 @@ $$\DeclareMathOperator*{\argmax}{arg\,max} L(\lambda, D) = - \text{log}\left(\pr
4. CRF以第3步中LSTM学习到的特征为输入,以标记序列为监督信号,完成序列标注; 4. CRF以第3步中LSTM学习到的特征为输入,以标记序列为监督信号,完成序列标注;
<div align="center"> <div align="center">
<img src="image/db_lstm_network.png" width = "60%" align=center /><br> <img src="https://github.com/PaddlePaddle/book/blob/develop/07.label_semantic_roles/image/db_lstm_network.png?raw=true" width = "60%" align=center /><br>
图6. SRL任务上的深层双向LSTM模型 图6. SRL任务上的深层双向LSTM模型
</div> </div>
......
data/wmt14
data/pre-wmt14
pretrained/wmt14_model
gen.log
gen_result
train.log
dataprovider_copy_1.py
*.pyc
multi-bleu.perl
...@@ -11,10 +11,10 @@ ...@@ -11,10 +11,10 @@
为解决以上问题,统计机器翻译(Statistical Machine Translation, SMT)技术应运而生。在统计机器翻译技术中,转化规则是由机器自动从大规模的语料中学习得到的,而非我们人主动提供规则。因此,它克服了基于规则的翻译系统所面临的知识获取瓶颈的问题,但仍然存在许多挑战:1)人为设计许多特征(feature),但永远无法覆盖所有的语言现象;2)难以利用全局的特征;3)依赖于许多预处理环节,如词语对齐、分词或符号化(tokenization)、规则抽取、句法分析等,而每个环节的错误会逐步累积,对翻译的影响也越来越大。 为解决以上问题,统计机器翻译(Statistical Machine Translation, SMT)技术应运而生。在统计机器翻译技术中,转化规则是由机器自动从大规模的语料中学习得到的,而非我们人主动提供规则。因此,它克服了基于规则的翻译系统所面临的知识获取瓶颈的问题,但仍然存在许多挑战:1)人为设计许多特征(feature),但永远无法覆盖所有的语言现象;2)难以利用全局的特征;3)依赖于许多预处理环节,如词语对齐、分词或符号化(tokenization)、规则抽取、句法分析等,而每个环节的错误会逐步累积,对翻译的影响也越来越大。
近年来,深度学习技术的发展为解决上述挑战提供了新的思路。将深度学习应用于机器翻译任务的方法大致分为两类:1)仍以统计机器翻译系统为框架,只是利用神经网络来改进其中的关键模块,如语言模型、调序模型等(见图1的左半部分);2)不再以统计机器翻译系统为框架,而是直接用神经网络将源语言映射到目标语言,即端到端的神经网络机器翻译(End-to-End Neural Machine Translation, End-to-End NMT)(见图1的右半部分),简称为NMT模型。 近年来,深度学习技术的发展为解决上述挑战提供了新的思路。将深度学习应用于机器翻译任务的方法大致分为两类:1)仍以统计机器翻译系统为框架,只是利用神经网络来改进其中的关键模块,如语言模型、调序模型等(见图1的左半部分);2)不再以统计机器翻译系统为框架,而是直接用神经网络将源语言映射到目标语言,即端到端的神经网络机器翻译(End-to-End Neural Machine Translation, End-to-End NMT)(见图1的右半部分),简称为NMT模型。
![nmt](./image/nmt.png) <div align="center">
<p align="center"> <img src="https://github.com/PaddlePaddle/book/blob/develop/08.machine_translation/image/nmt.png?raw=true" width = "400" align=center/><br/>
图1. 基于神经网络的机器翻译系统 图1. 基于神经网络的机器翻译系统
</p> </div>
本教程主要介绍NMT模型,以及如何用PaddlePaddle来训练一个NMT模型。 本教程主要介绍NMT模型,以及如何用PaddlePaddle来训练一个NMT模型。
...@@ -45,18 +45,20 @@ ...@@ -45,18 +45,20 @@
具体来说,该双向循环神经网络分别在时间维以顺序和逆序——即前向(forward)和后向(backward)——依次处理输入序列,并将每个时间步RNN的输出拼接成为最终的输出层。这样每个时间步的输出节点,都包含了输入序列中当前时刻完整的过去和未来的上下文信息。下图展示的是一个按时间步展开的双向循环神经网络。该网络包含一个前向和一个后向RNN,其中有六个权重矩阵:输入到前向隐层和后向隐层的权重矩阵(`$W_1, W_3$`),隐层到隐层自己的权重矩阵(`$W_2,W_5$`),前向隐层和后向隐层到输出层的权重矩阵(`$W_4, W_6$`)。注意,该网络的前向隐层和后向隐层之间没有连接。 具体来说,该双向循环神经网络分别在时间维以顺序和逆序——即前向(forward)和后向(backward)——依次处理输入序列,并将每个时间步RNN的输出拼接成为最终的输出层。这样每个时间步的输出节点,都包含了输入序列中当前时刻完整的过去和未来的上下文信息。下图展示的是一个按时间步展开的双向循环神经网络。该网络包含一个前向和一个后向RNN,其中有六个权重矩阵:输入到前向隐层和后向隐层的权重矩阵(`$W_1, W_3$`),隐层到隐层自己的权重矩阵(`$W_2,W_5$`),前向隐层和后向隐层到输出层的权重矩阵(`$W_4, W_6$`)。注意,该网络的前向隐层和后向隐层之间没有连接。
![bi_rnn](./image/bi_rnn.png)
<p align="center"> <div align="center">
图3. 按时间步展开的双向循环神经网络 <img src = "https://github.com/PaddlePaddle/book/blob/develop/08.machine_translation/image/bi_rnn.png?raw=true" width="400"><br/>
</p> 图2. 按时间步展开的双向循环神经网络
</div>
### 编码器-解码器框架 ### 编码器-解码器框架
编码器-解码器(Encoder-Decoder)\[[2](#参考文献)\]框架用于解决由一个任意长度的源序列到另一个任意长度的目标序列的变换问题。即编码阶段将整个源序列编码成一个向量,解码阶段通过最大化预测序列概率,从中解码出整个目标序列。编码和解码的过程通常都使用RNN实现。 编码器-解码器(Encoder-Decoder)\[[2](#参考文献)\]框架用于解决由一个任意长度的源序列到另一个任意长度的目标序列的变换问题。即编码阶段将整个源序列编码成一个向量,解码阶段通过最大化预测序列概率,从中解码出整个目标序列。编码和解码的过程通常都使用RNN实现。
![encoder_decoder](./image/encoder_decoder.png) ![encoder_decoder](./image/encoder_decoder.png)
<p align="center"> <div align="center">
图4. 编码器-解码器框架 <img src ="https://github.com/PaddlePaddle/book/blob/develop/08.machine_translation/image/encoder_decoder.png?raw=true" width="400"><br/>
</p> 图3. 编码器-解码器框架
</div>
#### 编码器 #### 编码器
...@@ -69,16 +71,14 @@ ...@@ -69,16 +71,14 @@
3. 用RNN编码源语言词序列:这一过程的计算公式为`$h_i=\varnothing _\theta \left ( h_{i-1}, s_i \right )$`,其中`$h_0$`是一个全零的向量,`$\varnothing _\theta$`是一个非线性激活函数,最后得到的`$\mathbf{h}=\left \{ h_1,..., h_T \right \}$`就是RNN依次读入源语言`$T$`个词的状态编码序列。整句话的向量表示可以采用`$\mathbf{h}$`在最后一个时间步`$T$`的状态编码,或使用时间维上的池化(pooling)结果。 3. 用RNN编码源语言词序列:这一过程的计算公式为`$h_i=\varnothing _\theta \left ( h_{i-1}, s_i \right )$`,其中`$h_0$`是一个全零的向量,`$\varnothing _\theta$`是一个非线性激活函数,最后得到的`$\mathbf{h}=\left \{ h_1,..., h_T \right \}$`就是RNN依次读入源语言`$T$`个词的状态编码序列。整句话的向量表示可以采用`$\mathbf{h}$`在最后一个时间步`$T$`的状态编码,或使用时间维上的池化(pooling)结果。
第3步也可以使用双向循环神经网络实现更复杂的句编码表示,具体可以用双向GRU实现。前向GRU按照词序列`$(x_1,x_2,...,x_T)$`的顺序依次编码源语言端词,并得到一系列隐层状态`$(\overrightarrow{h_1},\overrightarrow{h_2},...,\overrightarrow{h_T})$`。类似的,后向GRU按照`$(x_T,x_{T-1},...,x_1)$`的顺序依次编码源语言端词,得到`$(\overleftarrow{h_1},\overleftarrow{h_2},...,\overleftarrow{h_T})$`。最后对于词`$x_i$`,通过拼接两个GRU的结果得到它的隐层状态,即`$h_i=\left [ \overrightarrow{h_i^T},\overleftarrow{h_i^T} \right ]^{T}$` 第3步也可以使用双向循环神经网络实现更复杂的句编码表示,具体可以用双向GRU实现。前向GRU按照词序列`$(x_1,x_2,...,x_T)$`的顺序依次编码源语言端词,并得到一系列隐层状态`$(\overrightarrow{h_1},\overrightarrow{h_2},...,\overrightarrow{h_T})$`。类似的,后向GRU按照`$(x_T,x_{T-1},...,x_1)$`的顺序依次编码源语言端词,得到`$(\overleftarrow{h_1},\overleftarrow{h_2},...,\overleftarrow{h_T})$`。最后对于词`$x_i$`,通过拼接两个GRU的结果得到它的隐层状态,即`$h_i=\left [ \overrightarrow{h_i^T},\overleftarrow{h_i^T} \right ]^{T}$`
<div align="center">
![encoder_attention](./image/encoder_attention.png) <img src="https://github.com/PaddlePaddle/book/blob/develop/08.machine_translation/image/encoder_attention.png?raw=true" width="400"><br/>
<p align="center"> 图4. 使用双向GRU的编码器
图5. 使用双向GRU的编码器 </div>
</p>
#### 解码器 #### 解码器
机器翻译任务的训练过程中,解码阶段的目标是最大化下一个正确的目标语言词的概率。思路是: 机器翻译任务的训练过程中,解码阶段的目标是最大化下一个正确的目标语言词的概率。思路是:
1. 每一个时刻,根据源语言句子的编码信息(又叫上下文向量,context vector)`$c$`、真实目标语言序列的第`$i$`个词`$u_i$``$i$`时刻RNN的隐层状态`$z_i$`,计算出下一个隐层状态`$z_{i+1}$`。计算公式如下: 1. 每一个时刻,根据源语言句子的编码信息(又叫上下文向量,context vector)`$c$`、真实目标语言序列的第`$i$`个词`$u_i$``$i$`时刻RNN的隐层状态`$z_i$`,计算出下一个隐层状态`$z_{i+1}$`。计算公式如下:
$$z_{i+1}=\phi_{\theta '} \left ( c,u_i,z_i \right )$$ $$z_{i+1}=\phi_{\theta '} \left ( c,u_i,z_i \right )$$
其中`$\phi _{\theta '}$`是一个非线性激活函数;`$c=q\mathbf{h}$`是源语言句子的上下文向量,在不使用[注意力机制](#注意力机制)时,如果[编码器](#编码器)的输出是源语言句子编码后的最后一个元素,则可以定义`$c=h_T$``$u_i$`是目标语言序列的第`$i$`个单词,`$u_0$`是目标语言序列的开始标记`<s>`,表示解码开始;`$z_i$``$i$`时刻解码RNN的隐层状态,`$z_0$`是一个全零的向量。 其中`$\phi _{\theta '}$`是一个非线性激活函数;`$c=q\mathbf{h}$`是源语言句子的上下文向量,在不使用[注意力机制](#注意力机制)时,如果[编码器](#编码器)的输出是源语言句子编码后的最后一个元素,则可以定义`$c=h_T$``$u_i$`是目标语言序列的第`$i$`个单词,`$u_0$`是目标语言序列的开始标记`<s>`,表示解码开始;`$z_i$``$i$`时刻解码RNN的隐层状态,`$z_0$`是一个全零的向量。
...@@ -100,7 +100,6 @@ $$p\left ( u_{i+1}|u_{&lt;i+1},\mathbf{x} \right )=softmax(W_sz_{i+1}+b_z)$$ ...@@ -100,7 +100,6 @@ $$p\left ( u_{i+1}|u_{&lt;i+1},\mathbf{x} \right )=softmax(W_sz_{i+1}+b_z)$$
柱搜索算法使用广度优先策略建立搜索树,在树的每一层,按照启发代价(heuristic cost)(本教程中,为生成词的log概率之和)对节点进行排序,然后仅留下预先确定的个数(文献中通常称为beam width、beam size、柱宽度等)的节点。只有这些节点会在下一层继续扩展,其他节点就被剪掉了,也就是说保留了质量较高的节点,剪枝了质量较差的节点。因此,搜索所占用的空间和时间大幅减少,但缺点是无法保证一定获得最优解。 柱搜索算法使用广度优先策略建立搜索树,在树的每一层,按照启发代价(heuristic cost)(本教程中,为生成词的log概率之和)对节点进行排序,然后仅留下预先确定的个数(文献中通常称为beam width、beam size、柱宽度等)的节点。只有这些节点会在下一层继续扩展,其他节点就被剪掉了,也就是说保留了质量较高的节点,剪枝了质量较差的节点。因此,搜索所占用的空间和时间大幅减少,但缺点是无法保证一定获得最优解。
使用柱搜索算法的解码阶段,目标是最大化生成序列的概率。思路是: 使用柱搜索算法的解码阶段,目标是最大化生成序列的概率。思路是:
1. 每一个时刻,根据源语言句子的编码信息`$c$`、生成的第`$i$`个目标语言序列单词`$u_i$``$i$`时刻RNN的隐层状态`$z_i$`,计算出下一个隐层状态`$z_{i+1}$` 1. 每一个时刻,根据源语言句子的编码信息`$c$`、生成的第`$i$`个目标语言序列单词`$u_i$``$i$`时刻RNN的隐层状态`$z_i$`,计算出下一个隐层状态`$z_{i+1}$`
2.`$z_{i+1}$`通过`softmax`归一化,得到目标语言序列的第`$i+1$`个单词的概率分布`$p_{i+1}$` 2.`$z_{i+1}$`通过`softmax`归一化,得到目标语言序列的第`$i+1$`个单词的概率分布`$p_{i+1}$`
......
...@@ -37,7 +37,7 @@ Prediction Score is 4.25 ...@@ -37,7 +37,7 @@ Prediction Score is 4.25
YouTube是世界上最大的视频上传、分享和发现网站,YouTube推荐系统为超过10亿用户从不断增长的视频库中推荐个性化的内容。整个系统由两个神经网络组成:候选生成网络和排序网络。候选生成网络从百万量级的视频库中生成上百个候选,排序网络对候选进行打分排序,输出排名最高的数十个结果。系统结构如图1所示: YouTube是世界上最大的视频上传、分享和发现网站,YouTube推荐系统为超过10亿用户从不断增长的视频库中推荐个性化的内容。整个系统由两个神经网络组成:候选生成网络和排序网络。候选生成网络从百万量级的视频库中生成上百个候选,排序网络对候选进行打分排序,输出排名最高的数十个结果。系统结构如图1所示:
<p align="center"> <p align="center">
<img src="image/YouTube_Overview.png" width="70%" ><br/> <img src="https://github.com/PaddlePaddle/book/blob/develop/05.recommender_system/image/YouTube_Overview.png?raw=true" width="70%" ><br/>
图1. YouTube 推荐系统结构 图1. YouTube 推荐系统结构
</p> </p>
...@@ -48,7 +48,7 @@ YouTube是世界上最大的视频上传、分享和发现网站,YouTube推荐 ...@@ -48,7 +48,7 @@ YouTube是世界上最大的视频上传、分享和发现网站,YouTube推荐
首先,将观看历史及搜索词记录这类历史信息,映射为向量后取平均值得到定长表示;同时,输入人口学特征以优化新用户的推荐效果,并将二值特征和连续特征归一化处理到[0, 1]范围。接下来,将所有特征表示拼接为一个向量,并输入给非线形多层感知器(MLP,详见[识别数字](https://github.com/PaddlePaddle/book/blob/develop/02.recognize_digits/README.cn.md)教程)处理。最后,训练时将MLP的输出给softmax做分类,预测时计算用户的综合特征(MLP的输出)与所有视频的相似度,取得分最高的$k$个作为候选生成网络的筛选结果。图2显示了候选生成网络结构。 首先,将观看历史及搜索词记录这类历史信息,映射为向量后取平均值得到定长表示;同时,输入人口学特征以优化新用户的推荐效果,并将二值特征和连续特征归一化处理到[0, 1]范围。接下来,将所有特征表示拼接为一个向量,并输入给非线形多层感知器(MLP,详见[识别数字](https://github.com/PaddlePaddle/book/blob/develop/02.recognize_digits/README.cn.md)教程)处理。最后,训练时将MLP的输出给softmax做分类,预测时计算用户的综合特征(MLP的输出)与所有视频的相似度,取得分最高的$k$个作为候选生成网络的筛选结果。图2显示了候选生成网络结构。
<p align="center"> <p align="center">
<img src="image/Deep_candidate_generation_model_architecture.png" width="70%" ><br/> <img src="https://github.com/PaddlePaddle/book/blob/develop/05.recommender_system/image/Deep_candidate_generation_model_architecture.png?raw=true" width="70%" ><br/>
图2. 候选生成网络结构 图2. 候选生成网络结构
</p> </p>
...@@ -73,7 +73,7 @@ $$P(\omega=i|u)=\frac{e^{v_{i}u}}{\sum_{j \in V}e^{v_{j}u}}$$ ...@@ -73,7 +73,7 @@ $$P(\omega=i|u)=\frac{e^{v_{i}u}}{\sum_{j \in V}e^{v_{j}u}}$$
卷积神经网络主要由卷积(convolution)和池化(pooling)操作构成,其应用及组合方式灵活多变,种类繁多。本小结我们以如图3所示的网络进行讲解: 卷积神经网络主要由卷积(convolution)和池化(pooling)操作构成,其应用及组合方式灵活多变,种类繁多。本小结我们以如图3所示的网络进行讲解:
<p align="center"> <p align="center">
<img src="image/text_cnn.png" width = "80%" align="center"/><br/> <img src="https://github.com/PaddlePaddle/book/blob/develop/05.recommender_system/image/text_cnn.png?raw=true" width = "80%" align="center"/><br/>
图3. 卷积神经网络文本分类模型 图3. 卷积神经网络文本分类模型
</p> </p>
...@@ -107,7 +107,7 @@ $$\hat c=max(c)$$ ...@@ -107,7 +107,7 @@ $$\hat c=max(c)$$
<p align="center"> <p align="center">
<img src="image/rec_regression_network.png" width="90%" ><br/> <img src="https://github.com/PaddlePaddle/book/blob/develop/05.recommender_system/image/rec_regression_network.png?raw=true" width="90%" ><br/>
图4. 融合推荐模型 图4. 融合推荐模型
</p> </p>
......
data/aclImdb
data/imdb
data/pre-imdb
data/mosesdecoder-master
*.log
model_output
dataprovider_copy_1.py
model.list
*.pyc
.DS_Store
...@@ -37,7 +37,7 @@ ...@@ -37,7 +37,7 @@
循环神经网络是一种能对序列数据进行精确建模的有力工具。实际上,循环神经网络的理论计算能力是图灵完备的\[[4](#参考文献)\]。自然语言是一种典型的序列数据(词序列),近年来,循环神经网络及其变体(如long short term memory\[[5](#参考文献)\]等)在自然语言处理的多个领域,如语言模型、句法解析、语义角色标注(或一般的序列标注)、语义表示、图文生成、对话、机器翻译等任务上均表现优异甚至成为目前效果最好的方法。 循环神经网络是一种能对序列数据进行精确建模的有力工具。实际上,循环神经网络的理论计算能力是图灵完备的\[[4](#参考文献)\]。自然语言是一种典型的序列数据(词序列),近年来,循环神经网络及其变体(如long short term memory\[[5](#参考文献)\]等)在自然语言处理的多个领域,如语言模型、句法解析、语义角色标注(或一般的序列标注)、语义表示、图文生成、对话、机器翻译等任务上均表现优异甚至成为目前效果最好的方法。
<p align="center"> <p align="center">
<img src="image/rnn.png" width = "60%" align="center"/><br/> <img src="https://github.com/PaddlePaddle/book/blob/develop/06.understand_sentiment/image/rnn.png?raw=true" width = "60%" align="center"/><br/>
图1. 循环神经网络按时间展开的示意图 图1. 循环神经网络按时间展开的示意图
</p> </p>
...@@ -66,7 +66,7 @@ $$ h_t = o_t\odot tanh(c_t) $$ ...@@ -66,7 +66,7 @@ $$ h_t = o_t\odot tanh(c_t) $$
其中,$i_t, f_t, c_t, o_t$分别表示输入门,遗忘门,记忆单元及输出门的向量值,带角标的$W$及$b$为模型参数,$tanh$为双曲正切函数,$\odot$表示逐元素(elementwise)的乘法操作。输入门控制着新输入进入记忆单元$c$的强度,遗忘门控制着记忆单元维持上一时刻值的强度,输出门控制着输出记忆单元的强度。三种门的计算方式类似,但有着完全不同的参数,它们各自以不同的方式控制着记忆单元$c$,如图2所示: 其中,$i_t, f_t, c_t, o_t$分别表示输入门,遗忘门,记忆单元及输出门的向量值,带角标的$W$及$b$为模型参数,$tanh$为双曲正切函数,$\odot$表示逐元素(elementwise)的乘法操作。输入门控制着新输入进入记忆单元$c$的强度,遗忘门控制着记忆单元维持上一时刻值的强度,输出门控制着输出记忆单元的强度。三种门的计算方式类似,但有着完全不同的参数,它们各自以不同的方式控制着记忆单元$c$,如图2所示:
<p align="center"> <p align="center">
<img src="image/lstm.png" width = "65%" align="center"/><br/> <img src="https://github.com/PaddlePaddle/book/blob/develop/06.understand_sentiment/image/lstm.png?raw=true" width = "65%" align="center"/><br/>
图2. 时刻$t$的LSTM [7] 图2. 时刻$t$的LSTM [7]
</p> </p>
...@@ -83,7 +83,7 @@ $$ h_t=Recrurent(x_t,h_{t-1})$$ ...@@ -83,7 +83,7 @@ $$ h_t=Recrurent(x_t,h_{t-1})$$
如图3所示(以三层为例),奇数层LSTM正向,偶数层LSTM反向,高一层的LSTM使用低一层LSTM及之前所有层的信息作为输入,对最高层LSTM序列使用时间维度上的最大池化即可得到文本的定长向量表示(这一表示充分融合了文本的上下文信息,并且对文本进行了深层次抽象),最后我们将文本表示连接至softmax构建分类模型。 如图3所示(以三层为例),奇数层LSTM正向,偶数层LSTM反向,高一层的LSTM使用低一层LSTM及之前所有层的信息作为输入,对最高层LSTM序列使用时间维度上的最大池化即可得到文本的定长向量表示(这一表示充分融合了文本的上下文信息,并且对文本进行了深层次抽象),最后我们将文本表示连接至softmax构建分类模型。
<p align="center"> <p align="center">
<img src="image/stacked_lstm.jpg" width=450><br/> <img src="https://github.com/PaddlePaddle/book/blob/develop/06.understand_sentiment/image/stacked_lstm.jpg?raw=true" width=450><br/>
图3. 栈式双向LSTM用于文本分类 图3. 栈式双向LSTM用于文本分类
</p> </p>
......
data/train.list
data/test.list
data/simple-examples*
...@@ -34,7 +34,7 @@ $$X = USV^T$$ ...@@ -34,7 +34,7 @@ $$X = USV^T$$
本章中,当词向量训练好后,我们可以用数据可视化算法t-SNE\[[4](#参考文献)\]画出词语特征在二维上的投影(如下图所示)。从图中可以看出,语义相关的词语(如a, the, these; big, huge)在投影上距离很近,语意无关的词(如say, business; decision, japan)在投影上的距离很远。 本章中,当词向量训练好后,我们可以用数据可视化算法t-SNE\[[4](#参考文献)\]画出词语特征在二维上的投影(如下图所示)。从图中可以看出,语义相关的词语(如a, the, these; big, huge)在投影上距离很近,语意无关的词(如say, business; decision, japan)在投影上的距离很远。
<p align="center"> <p align="center">
<img src = "image/2d_similarity.png" width=400><br/> <img src = "https://github.com/PaddlePaddle/book/blob/develop/04.word2vec/image/2d_similarity.png?raw=true" width=400><br/>
图1. 词向量的二维投影 图1. 词向量的二维投影
</p> </p>
...@@ -90,7 +90,7 @@ $$\frac{1}{T}\sum_t f(w_t, w_{t-1}, ..., w_{t-n+1};\theta) + R(\theta)$$ ...@@ -90,7 +90,7 @@ $$\frac{1}{T}\sum_t f(w_t, w_{t-1}, ..., w_{t-n+1};\theta) + R(\theta)$$
其中$f(w_t, w_{t-1}, ..., w_{t-n+1})$表示根据历史n-1个词得到当前词$w_t$的条件概率,$R(\theta)$表示参数正则项。 其中$f(w_t, w_{t-1}, ..., w_{t-n+1})$表示根据历史n-1个词得到当前词$w_t$的条件概率,$R(\theta)$表示参数正则项。
<p align="center"> <p align="center">
<img src="image/nnlm.png" width=500><br/> <img src="https://github.com/PaddlePaddle/book/blob/develop/04.word2vec/image/nnlm.png?raw=true" width=500><br/>
图2. N-gram神经网络模型 图2. N-gram神经网络模型
</p> </p>
...@@ -122,7 +122,7 @@ $$\frac{1}{T}\sum_t f(w_t, w_{t-1}, ..., w_{t-n+1};\theta) + R(\theta)$$ ...@@ -122,7 +122,7 @@ $$\frac{1}{T}\sum_t f(w_t, w_{t-1}, ..., w_{t-n+1};\theta) + R(\theta)$$
CBOW模型通过一个词的上下文(各N个词)预测当前词。当N=2时,模型如下图所示: CBOW模型通过一个词的上下文(各N个词)预测当前词。当N=2时,模型如下图所示:
<p align="center"> <p align="center">
<img src="image/cbow.png" width=250><br/> <img src="https://github.com/PaddlePaddle/book/blob/develop/04.word2vec/image/cbow.png?raw=true" width=250><br/>
图3. CBOW模型 图3. CBOW模型
</p> </p>
...@@ -137,7 +137,7 @@ $$context = \frac{x_{t-1} + x_{t-2} + x_{t+1} + x_{t+2}}{4}$$ ...@@ -137,7 +137,7 @@ $$context = \frac{x_{t-1} + x_{t-2} + x_{t+1} + x_{t+2}}{4}$$
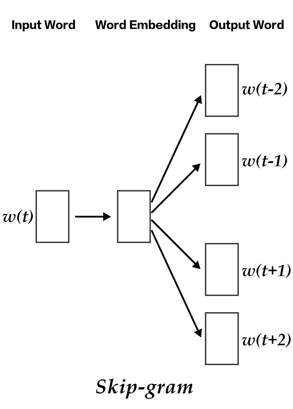
CBOW的好处是对上下文词语的分布在词向量上进行了平滑,去掉了噪声,因此在小数据集上很有效。而Skip-gram的方法中,用一个词预测其上下文,得到了当前词上下文的很多样本,因此可用于更大的数据集。 CBOW的好处是对上下文词语的分布在词向量上进行了平滑,去掉了噪声,因此在小数据集上很有效。而Skip-gram的方法中,用一个词预测其上下文,得到了当前词上下文的很多样本,因此可用于更大的数据集。
<p align="center"> <p align="center">
<img src="image/skipgram.png" width=250><br/> <img src="https://github.com/PaddlePaddle/book/blob/develop/04.word2vec/image/skipgram.png?raw=true" width=250><br/>
图4. Skip-gram模型 图4. Skip-gram模型
</p> </p>
...@@ -194,7 +194,7 @@ dream that one day <e> ...@@ -194,7 +194,7 @@ dream that one day <e>
本配置的模型结构如下图所示: 本配置的模型结构如下图所示:
<p align="center"> <p align="center">
<img src="image/ngram.png" width=400><br/> <img src="https://github.com/PaddlePaddle/book/blob/develop/04.word2vec/image/ngram.png?raw=true" width=400><br/>
图5. 模型配置中的N-gram神经网络模型 图5. 模型配置中的N-gram神经网络模型
</p> </p>
......
...@@ -15,7 +15,7 @@ $$y_i = \omega_1x_{i1} + \omega_2x_{i2} + \ldots + \omega_dx_{id} + b, i=1,\ldo ...@@ -15,7 +15,7 @@ $$y_i = \omega_1x_{i1} + \omega_2x_{i2} + \ldots + \omega_dx_{id} + b, i=1,\ldo
## 效果展示 ## 效果展示
我们使用从[UCI Housing Data Set](https://archive.ics.uci.edu/ml/datasets/Housing)获得的波士顿房价数据集进行模型的训练和预测。下面的散点图展示了使用模型对部分房屋价格进行的预测。其中,每个点的横坐标表示同一类房屋真实价格的中位数,纵坐标表示线性回归模型根据特征预测的结果,当二者值完全相等的时候就会落在虚线上。所以模型预测得越准确,则点离虚线越近。 我们使用从[UCI Housing Data Set](https://archive.ics.uci.edu/ml/datasets/Housing)获得的波士顿房价数据集进行模型的训练和预测。下面的散点图展示了使用模型对部分房屋价格进行的预测。其中,每个点的横坐标表示同一类房屋真实价格的中位数,纵坐标表示线性回归模型根据特征预测的结果,当二者值完全相等的时候就会落在虚线上。所以模型预测得越准确,则点离虚线越近。
<p align="center"> <p align="center">
<img src = "image/predictions.png" width=400><br/> <img src = "https://github.com/PaddlePaddle/book/blob/develop/01.fit_a_line/image/predictions.png?raw=true" width=400><br/>
图1. 预测值 V.S. 真实值 图1. 预测值 V.S. 真实值
</p> </p>
...@@ -40,13 +40,9 @@ $$MSE=\frac{1}{n}\sum_{i=1}^{n}{(\hat{Y_i}-Y_i)}^2$$ ...@@ -40,13 +40,9 @@ $$MSE=\frac{1}{n}\sum_{i=1}^{n}{(\hat{Y_i}-Y_i)}^2$$
### 训练过程 ### 训练过程
定义好模型结构之后,我们要通过以下几个步骤进行模型训练 定义好模型结构之后,我们要通过以下几个步骤进行模型训练
1. 初始化参数,其中包括权重$\omega_i$和偏置$b$,对其进行初始化(如0均值,1方差)。 1. 初始化参数,其中包括权重$\omega_i$和偏置$b$,对其进行初始化(如0均值,1方差)。
2. 网络正向传播计算网络输出和损失函数。 2. 网络正向传播计算网络输出和损失函数。
3. 根据损失函数进行反向误差传播 ([backpropagation](https://en.wikipedia.org/wiki/Backpropagation)),将网络误差从输出层依次向前传递, 并更新网络中的参数。 3. 根据损失函数进行反向误差传播 ([backpropagation](https://en.wikipedia.org/wiki/Backpropagation)),将网络误差从输出层依次向前传递, 并更新网络中的参数。
4. 重复2~3步骤,直至网络训练误差达到规定的程度或训练轮次达到设定值。 4. 重复2~3步骤,直至网络训练误差达到规定的程度或训练轮次达到设定值。
## 数据集 ## 数据集
...@@ -84,7 +80,7 @@ $$MSE=\frac{1}{n}\sum_{i=1}^{n}{(\hat{Y_i}-Y_i)}^2$$ ...@@ -84,7 +80,7 @@ $$MSE=\frac{1}{n}\sum_{i=1}^{n}{(\hat{Y_i}-Y_i)}^2$$
- 很多的机器学习技巧/模型(例如L1,L2正则项,向量空间模型-Vector Space Model)都基于这样的假设:所有的属性取值都差不多是以0为均值且取值范围相近的。 - 很多的机器学习技巧/模型(例如L1,L2正则项,向量空间模型-Vector Space Model)都基于这样的假设:所有的属性取值都差不多是以0为均值且取值范围相近的。
<p align="center"> <p align="center">
<img src = "image/ranges.png" width=550><br/> <img src = "https://github.com/PaddlePaddle/book/blob/develop/01.fit_a_line/image/ranges.png?raw=true" width=550><br/>
图2. 各维属性的取值范围 图2. 各维属性的取值范围
</p> </p>
...@@ -199,10 +195,12 @@ step = 0 ...@@ -199,10 +195,12 @@ step = 0
def event_handler_plot(event): def event_handler_plot(event):
global step global step
if isinstance(event, fluid.EndStepEvent): if isinstance(event, fluid.EndStepEvent):
if event.step % 10 == 0: # record the test cost every 10 seconds if step % 10 == 0: # record a train cost every 10 batches
plot_cost.append(train_title, step, event.metrics[0])
if step % 100 == 0: # record a test cost every 100 batches
test_metrics = trainer.test( test_metrics = trainer.test(
reader=test_reader, feed_order=feed_order) reader=test_reader, feed_order=feed_order)
plot_cost.append(test_title, step, test_metrics[0]) plot_cost.append(test_title, step, test_metrics[0])
plot_cost.plot() plot_cost.plot()
...@@ -210,12 +208,13 @@ def event_handler_plot(event): ...@@ -210,12 +208,13 @@ def event_handler_plot(event):
# If the accuracy is good enough, we can stop the training. # If the accuracy is good enough, we can stop the training.
print('loss is less than 10.0, stop') print('loss is less than 10.0, stop')
trainer.stop() trainer.stop()
# We can save the trained parameters for the inferences later
if params_dirname is not None:
trainer.save_params(params_dirname)
step += 1 step += 1
if isinstance(event, fluid.EndEpochEvent):
if event.epoch % 10 == 0:
# We can save the trained parameters for the inferences later
if params_dirname is not None:
trainer.save_params(params_dirname)
``` ```
### 开始训练 ### 开始训练
...@@ -231,11 +230,10 @@ trainer.train( ...@@ -231,11 +230,10 @@ trainer.train(
event_handler=event_handler_plot, event_handler=event_handler_plot,
feed_order=feed_order) feed_order=feed_order)
``` ```
<div align="center">
<p align="center"> <img src="https://github.com/PaddlePaddle/book/blob/develop/01.fit_a_line/image/train_and_test.png?raw=true" width="400"><br/>
<img src = "image/train_and_test1.png" width=400><br/> 图3 训练结果
图3. 训练结果 </div>
</p>
## 预测 ## 预测
...@@ -262,18 +260,18 @@ inferencer = fluid.Inferencer( ...@@ -262,18 +260,18 @@ inferencer = fluid.Inferencer(
batch_size = 10 batch_size = 10
test_reader = paddle.batch(paddle.dataset.uci_housing.test(),batch_size=batch_size) test_reader = paddle.batch(paddle.dataset.uci_housing.test(),batch_size=batch_size)
test_data = test_reader().next() test_data = test_reader().next()
test_feat = numpy.array([data[0] for data in test_data]).astype("float32") test_x = numpy.array([data[0] for data in test_data]).astype("float32")
test_label = numpy.array([data[1] for data in test_data]).astype("float32") test_y = numpy.array([data[1] for data in test_data]).astype("float32")
results = inferencer.infer({'x': test_feat}) results = inferencer.infer({'x': test_x})
print("infer results: (House Price)") print("infer results: (House Price)")
for k in range(0, batch_size-1): for idx, val in enumerate(results[0]):
print("%d. %f" % (k, results[0][k])) print("%d: %.2f" % (idx, val))
print("\nground truth:") print("\nground truth:")
for k in range(0, batch_size-1): for idx, val in enumerate(test_y):
print("%d. %f" % (k, test_label[k])) print("%d: %.2f" % (idx, val))
``` ```
## 总结 ## 总结
......
...@@ -6,8 +6,8 @@ ...@@ -6,8 +6,8 @@
当我们学习编程的时候,编写的第一个程序一般是实现打印"Hello World"。而机器学习(或深度学习)的入门教程,一般都是 [MNIST](http://yann.lecun.com/exdb/mnist/) 数据库上的手写识别问题。原因是手写识别属于典型的图像分类问题,比较简单,同时MNIST数据集也很完备。MNIST数据集作为一个简单的计算机视觉数据集,包含一系列如图1所示的手写数字图片和对应的标签。图片是28x28的像素矩阵,标签则对应着0~9的10个数字。每张图片都经过了大小归一化和居中处理。 当我们学习编程的时候,编写的第一个程序一般是实现打印"Hello World"。而机器学习(或深度学习)的入门教程,一般都是 [MNIST](http://yann.lecun.com/exdb/mnist/) 数据库上的手写识别问题。原因是手写识别属于典型的图像分类问题,比较简单,同时MNIST数据集也很完备。MNIST数据集作为一个简单的计算机视觉数据集,包含一系列如图1所示的手写数字图片和对应的标签。图片是28x28的像素矩阵,标签则对应着0~9的10个数字。每张图片都经过了大小归一化和居中处理。
<p align="center"> <p align="center">
<img src="image/mnist_example_image.png" width="400"><br/> <img src="https://github.com/PaddlePaddle/book/blob/develop/02.recognize_digits/image/mnist_example_image.png?raw=true" width="400"><br/>
图1. MNIST图片示例 图1. MNIST图片示例
</p> </p>
MNIST数据集是从 [NIST](https://www.nist.gov/srd/nist-special-database-19) 的Special Database 3(SD-3)和Special Database 1(SD-1)构建而来。由于SD-3是由美国人口调查局的员工进行标注,SD-1是由美国高中生进行标注,因此SD-3比SD-1更干净也更容易识别。Yann LeCun等人从SD-1和SD-3中各取一半作为MNIST的训练集(60000条数据)和测试集(10000条数据),其中训练集来自250位不同的标注员,此外还保证了训练集和测试集的标注员是不完全相同的。 MNIST数据集是从 [NIST](https://www.nist.gov/srd/nist-special-database-19) 的Special Database 3(SD-3)和Special Database 1(SD-1)构建而来。由于SD-3是由美国人口调查局的员工进行标注,SD-1是由美国高中生进行标注,因此SD-3比SD-1更干净也更容易识别。Yann LeCun等人从SD-1和SD-3中各取一半作为MNIST的训练集(60000条数据)和测试集(10000条数据),其中训练集来自250位不同的标注员,此外还保证了训练集和测试集的标注员是不完全相同的。
...@@ -40,12 +40,12 @@ $$ y_i = \text{softmax}(\sum_j W_{i,j}x_j + b_i) $$ ...@@ -40,12 +40,12 @@ $$ y_i = \text{softmax}(\sum_j W_{i,j}x_j + b_i) $$
在分类问题中,我们一般采用交叉熵代价损失函数(cross entropy loss),公式如下: 在分类问题中,我们一般采用交叉熵代价损失函数(cross entropy loss),公式如下:
$$ L_{cross-entropy} (label, y) = -\sum_i label_ilog(y_i) $$ $$ L_{cross-entropy}(label, y) = -\sum_i label_ilog(y_i) $$
图2为softmax回归的网络图,图中权重用蓝线表示、偏置用红线表示、+1代表偏置参数的系数为1。 图2为softmax回归的网络图,图中权重用蓝线表示、偏置用红线表示、+1代表偏置参数的系数为1。
<p align="center"> <p align="center">
<img src="image/softmax_regression.png" width=400><br/> <img src="https://github.com/PaddlePaddle/book/blob/develop/02.recognize_digits/image/softmax_regression.png?raw=true" width=400><br/>
图2. softmax回归网络结构图<br/> 图2. softmax回归网络结构图<br/>
</p> </p>
...@@ -54,16 +54,14 @@ $$ L_{cross-entropy} (label, y) = -\sum_i label_ilog(y_i) $$ ...@@ -54,16 +54,14 @@ $$ L_{cross-entropy} (label, y) = -\sum_i label_ilog(y_i) $$
Softmax回归模型采用了最简单的两层神经网络,即只有输入层和输出层,因此其拟合能力有限。为了达到更好的识别效果,我们考虑在输入层和输出层中间加上若干个隐藏层\[[10](#参考文献)\] Softmax回归模型采用了最简单的两层神经网络,即只有输入层和输出层,因此其拟合能力有限。为了达到更好的识别效果,我们考虑在输入层和输出层中间加上若干个隐藏层\[[10](#参考文献)\]
1. 经过第一个隐藏层,可以得到 $ H_1 = \phi(W_1X + b_1) $,其中$\phi$代表激活函数,常见的有sigmoid、tanh或ReLU等函数。 1. 经过第一个隐藏层,可以得到 $ H_1 = \phi(W_1X + b_1) $,其中$\phi$代表激活函数,常见的有sigmoid、tanh或ReLU等函数。
2. 经过第二个隐藏层,可以得到 $ H_2 = \phi(W_2H_1 + b_2) $。 2. 经过第二个隐藏层,可以得到 $ H_2 = \phi(W_2H_1 + b_2) $。
3. 最后,再经过输出层,得到的$Y=\text{softmax}(W_3H_2 + b_3)$,即为最后的分类结果向量。 3. 最后,再经过输出层,得到的$Y=\text{softmax}(W_3H_2 + b_3)$,即为最后的分类结果向量。
图3为多层感知器的网络结构图,图中权重用蓝线表示、偏置用红线表示、+1代表偏置参数的系数为1。 图3为多层感知器的网络结构图,图中权重用蓝线表示、偏置用红线表示、+1代表偏置参数的系数为1。
<p align="center"> <p align="center">
<img src="image/mlp.png" width=500><br/> <img src="https://github.com/PaddlePaddle/book/blob/develop/02.recognize_digits/image/mlp.png?raw=true" width=500><br/>
图3. 多层感知器网络结构图<br/> 图3. 多层感知器网络结构图<br/>
</p> </p>
...@@ -72,7 +70,7 @@ Softmax回归模型采用了最简单的两层神经网络,即只有输入层 ...@@ -72,7 +70,7 @@ Softmax回归模型采用了最简单的两层神经网络,即只有输入层
在多层感知器模型中,将图像展开成一维向量输入到网络中,忽略了图像的位置和结构信息,而卷积神经网络能够更好的利用图像的结构信息。[LeNet-5](http://yann.lecun.com/exdb/lenet/)是一个较简单的卷积神经网络。图4显示了其结构:输入的二维图像,先经过两次卷积层到池化层,再经过全连接层,最后使用softmax分类作为输出层。下面我们主要介绍卷积层和池化层。 在多层感知器模型中,将图像展开成一维向量输入到网络中,忽略了图像的位置和结构信息,而卷积神经网络能够更好的利用图像的结构信息。[LeNet-5](http://yann.lecun.com/exdb/lenet/)是一个较简单的卷积神经网络。图4显示了其结构:输入的二维图像,先经过两次卷积层到池化层,再经过全连接层,最后使用softmax分类作为输出层。下面我们主要介绍卷积层和池化层。
<p align="center"> <p align="center">
<img src="image/cnn.png"><br/> <img src="https://github.com/PaddlePaddle/book/blob/develop/02.recognize_digits/image/cnn.png?raw=true" width="400"><br/>
图4. LeNet-5卷积神经网络结构<br/> 图4. LeNet-5卷积神经网络结构<br/>
</p> </p>
...@@ -81,7 +79,7 @@ Softmax回归模型采用了最简单的两层神经网络,即只有输入层 ...@@ -81,7 +79,7 @@ Softmax回归模型采用了最简单的两层神经网络,即只有输入层
卷积层是卷积神经网络的核心基石。在图像识别里我们提到的卷积是二维卷积,即离散二维滤波器(也称作卷积核)与二维图像做卷积操作,简单的讲是二维滤波器滑动到二维图像上所有位置,并在每个位置上与该像素点及其领域像素点做内积。卷积操作被广泛应用与图像处理领域,不同卷积核可以提取不同的特征,例如边沿、线性、角等特征。在深层卷积神经网络中,通过卷积操作可以提取出图像低级到复杂的特征。 卷积层是卷积神经网络的核心基石。在图像识别里我们提到的卷积是二维卷积,即离散二维滤波器(也称作卷积核)与二维图像做卷积操作,简单的讲是二维滤波器滑动到二维图像上所有位置,并在每个位置上与该像素点及其领域像素点做内积。卷积操作被广泛应用与图像处理领域,不同卷积核可以提取不同的特征,例如边沿、线性、角等特征。在深层卷积神经网络中,通过卷积操作可以提取出图像低级到复杂的特征。
<p align="center"> <p align="center">
<img src="image/conv_layer.png" width='750'><br/> <img src="https://github.com/PaddlePaddle/book/blob/develop/02.recognize_digits/image/conv_layer.png?raw=true" width='750'><br/>
图5. 卷积层图片<br/> 图5. 卷积层图片<br/>
</p> </p>
...@@ -98,7 +96,7 @@ Softmax回归模型采用了最简单的两层神经网络,即只有输入层 ...@@ -98,7 +96,7 @@ Softmax回归模型采用了最简单的两层神经网络,即只有输入层
#### 池化层 #### 池化层
<p align="center"> <p align="center">
<img src="image/max_pooling.png" width="400px"><br/> <img src="https://github.com/PaddlePaddle/book/blob/develop/02.recognize_digits/image/max_pooling.png?raw=true" width="400px"><br/>
图6. 池化层图片<br/> 图6. 池化层图片<br/>
</p> </p>
...@@ -106,8 +104,7 @@ Softmax回归模型采用了最简单的两层神经网络,即只有输入层 ...@@ -106,8 +104,7 @@ Softmax回归模型采用了最简单的两层神经网络,即只有输入层
更详细的关于卷积神经网络的具体知识可以参考[斯坦福大学公开课]( http://cs231n.github.io/convolutional-networks/ )[图像分类](https://github.com/PaddlePaddle/book/blob/develop/image_classification/README.md)教程。 更详细的关于卷积神经网络的具体知识可以参考[斯坦福大学公开课]( http://cs231n.github.io/convolutional-networks/ )[图像分类](https://github.com/PaddlePaddle/book/blob/develop/image_classification/README.md)教程。
### 常见激活函数介绍 ### 常见激活函数介绍
- sigmoid激活函数: $ f(x) = sigmoid(x) = \frac{1}{1+e^{-x}} $ - sigmoid激活函数: $ f(x) = sigmoid(x) = \frac{1}{1+e^{-x}} $
- tanh激活函数: $ f(x) = tanh(x) = \frac{e^x-e^{-x}}{e^x+e^{-x}} $ - tanh激活函数: $ f(x) = tanh(x) = \frac{e^x-e^{-x}}{e^x+e^{-x}} $
...@@ -136,20 +133,18 @@ PaddlePaddle在API中提供了自动加载[MNIST](http://yann.lecun.com/exdb/mni ...@@ -136,20 +133,18 @@ PaddlePaddle在API中提供了自动加载[MNIST](http://yann.lecun.com/exdb/mni
我们建议使用 Fluid API,因为它更容易学起来。 我们建议使用 Fluid API,因为它更容易学起来。
下面是快速的 Fluid API 概述。 下面是快速的 Fluid API 概述。
1. `inference_program`:指定如何从数据输入中获得预测的函数。 1. `inference_program`:指定如何从数据输入中获得预测的函数。
这是指定网络流的地方。 这是指定网络流的地方。
2. `train_program`:指定如何从 `inference_program``标签值`中获取 `loss` 的函数。 1. `train_program`:指定如何从 `inference_program``标签值`中获取 `loss` 的函数。
这是指定损失计算的地方。 这是指定损失计算的地方。
3. `optimizer_func`: “指定优化器配置的函数。优化器负责减少损失并驱动培训。Paddle 支持多种不同的优化器。 1. `optimizer_func`: “指定优化器配置的函数。优化器负责减少损失并驱动培训。Paddle 支持多种不同的优化器。
4. `Trainer`:PaddlePaddle Trainer 管理由 `train_program``optimizer` 指定的训练过程。 1. `Trainer`:PaddlePaddle Trainer 管理由 `train_program``optimizer` 指定的训练过程。
通过 `event_handler` 回调函数,用户可以监控培训的进展。 通过 `event_handler` 回调函数,用户可以监控培训的进展。
5. `Inferencer`:Fluid inferencer 加载 `inference_program` 和由 Trainer 训练的参数。 1. `Inferencer`:Fluid inferencer 加载 `inference_program` 和由 Trainer 训练的参数。
然后,它可以推断数据和返回预测。 然后,它可以推断数据和返回预测。
在这个演示中,我们将深入了解它们。 在这个演示中,我们将深入了解它们。
...@@ -240,6 +235,7 @@ def train_program(): ...@@ -240,6 +235,7 @@ def train_program():
acc = fluid.layers.accuracy(input=predict, label=label) acc = fluid.layers.accuracy(input=predict, label=label)
return [avg_cost, acc] return [avg_cost, acc]
``` ```
#### Optimizer Function 配置 #### Optimizer Function 配置
...@@ -255,9 +251,9 @@ def optimizer_program(): ...@@ -255,9 +251,9 @@ def optimizer_program():
下一步,我们开始训练过程。`paddle.dataset.movielens.train()``paddle.dataset.movielens.test()`分别做训练和测试数据集。这两个函数各自返回一个reader——PaddlePaddle中的reader是一个Python函数,每次调用的时候返回一个Python yield generator。 下一步,我们开始训练过程。`paddle.dataset.movielens.train()``paddle.dataset.movielens.test()`分别做训练和测试数据集。这两个函数各自返回一个reader——PaddlePaddle中的reader是一个Python函数,每次调用的时候返回一个Python yield generator。
下面`shuffle`是一个reader decorator,它接受一个reader A,返回另一个reader B reader B 每次读入`buffer_size`条训练数据到一个buffer里,然后随机打乱其顺序,并且逐条输出。 下面`shuffle`是一个reader decorator,它接受一个reader A,返回另一个reader B —— reader B 每次读入`buffer_size`条训练数据到一个buffer里,然后随机打乱其顺序,并且逐条输出。
`batch`是一个特殊的decorator,它的输入是一个reader,输出是一个batched reader 在PaddlePaddle里,一个reader每次yield一条训练数据,而一个batched reader每次yield一个minibatch。 `batch`是一个特殊的decorator,它的输入是一个reader,输出是一个batched reader —— 在PaddlePaddle里,一个reader每次yield一条训练数据,而一个batched reader每次yield一个minibatch。
```python ```python
train_reader = paddle.batch( train_reader = paddle.batch(
...@@ -280,7 +276,6 @@ place = fluid.CUDAPlace(0) if use_cuda else fluid.CPUPlace() ...@@ -280,7 +276,6 @@ place = fluid.CUDAPlace(0) if use_cuda else fluid.CPUPlace()
trainer = fluid.Trainer( trainer = fluid.Trainer(
train_func=train_program, place=place, optimizer_func=optimizer_program) train_func=train_program, place=place, optimizer_func=optimizer_program)
``` ```
#### Event Handler 配置 #### Event Handler 配置
...@@ -315,11 +310,10 @@ def event_handler(event): ...@@ -315,11 +310,10 @@ def event_handler(event):
`event_handler_plot` 可以用来在训练过程中画图如下: `event_handler_plot` 可以用来在训练过程中画图如下:
<div align="center">
<p align="center"> <img src="https://github.com/PaddlePaddle/book/blob/develop/02.recognize_digits/image/train_and_test.png?raw=true" width="400"><br/>
<img src="image/train_and_test2.png" width="400"><br/> 图7 训练结果
图7. 训练结果 </div>
</p>
```python ```python
......
Markdown is supported
0% .
You are about to add 0 people to the discussion. Proceed with caution.
先完成此消息的编辑!
想要评论请 注册